Pràctiques de Física
           Transparències de pràctiques: 
                (grups Q. Fort)
                                                      ../imatges/blueball.gif 1. Dimensions i errors
                                                      ../imatges/blueball.gif 2. Ajust de rectes
                                                      ../imatges/blueball.gif 3. Elasticitat
                                                      ../imatges/blueball.gif 4. Equilibri d'una barra
                                                      ../imatges/blueball.gif 5. Estructures
                                                      ../imatges/blueball.gif 6. Estàtica de fluids
                                                      ../imatges/blueball.gif 7. Moments d'inèrcia
                                                      ../imatges/blueball.gif 8. Dinàmica de fluids
                                                      ../imatges/blueball.gif 9. Transferència de calor
                                                      ../imatges/blueball.gif 10. Termodinàmica
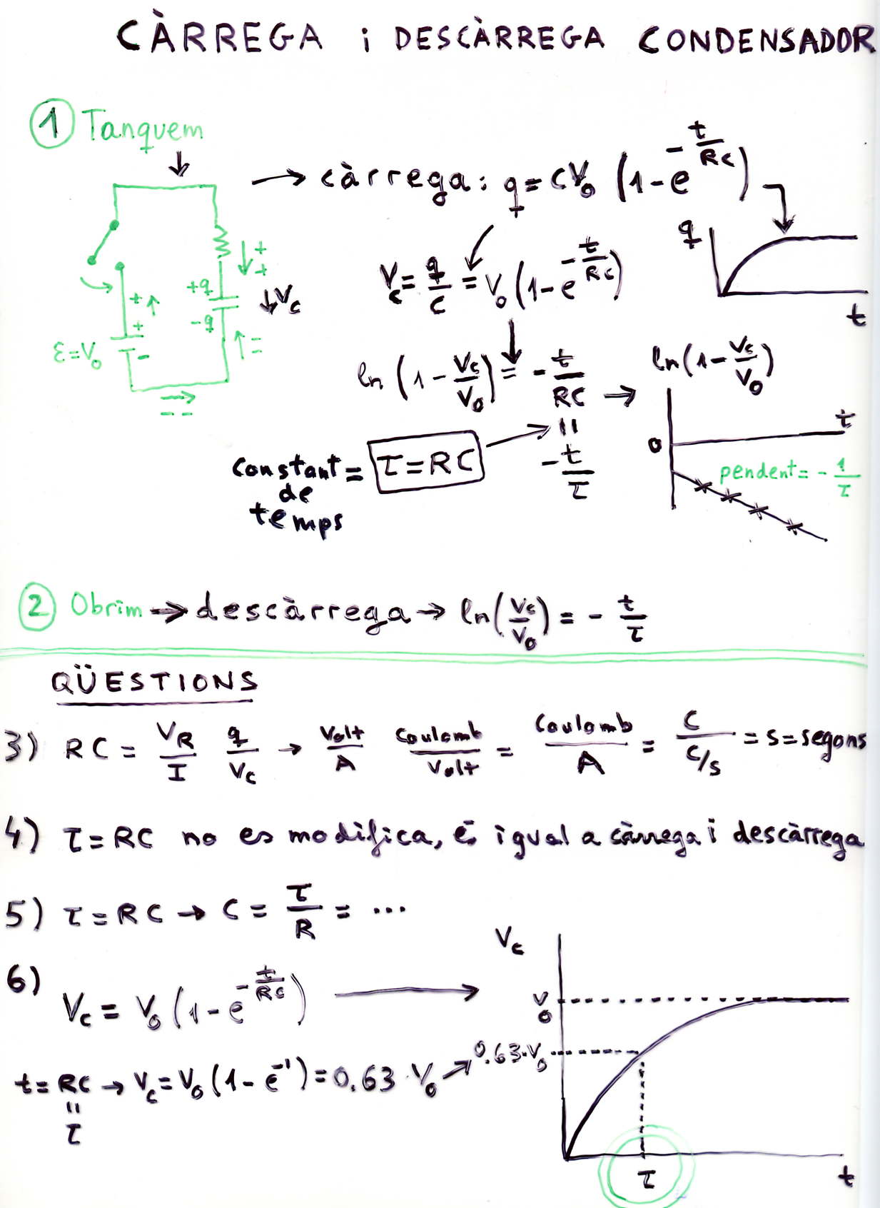
                                                      ../imatges/blueball.gif 11. Càrrega i descàrrega d'un condensador
                                                      ../imatges/blueball.gif 12. Camp magnètic creat per una bobina
                                                      ../imatges/blueball.gif 13. Corrent altern
                                                      ../imatges/blueball.gif 14. Òptica geomètrica


   Comentaris: joaquim.fort at udg.es